Attempted
Correct
UnAttempted
Wrong
The helical structure of protein is stabilized by
The α-helix structure is formed when the chain of α-amino acids coils as a right handed screw (called α-helix) because of the formation of hydrogen bonds between amide groups of the same peptide chain, i.e.,NH group in one unit is linked to carbonyl oxygen of the third unit by hydrogen bonding. This hydrogen bonding between different units is responsible for holding helix in a position.
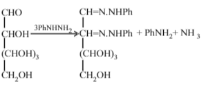
Glucose molecule reacts with X number of molecules of phenylhydrazine to yield osazone. The value of X is

A sequence of how many nucleotides in messenger RNA makes a codon for an amino acid?
The sequence of bases in mRNA are read in a serial order in groups of three at a time.Each triplet of nucleotides (having a specific sequence of bases) is known as codon. Each codon specifies one amino acid.Further since, there are four bases. therefore,43= 64 triplets or codons are possible


The metal present in vitamin B12 is :
Metal present in vitamin B12 is Co (cobalt).
Which is not a true statement?
All proteins are not found in L-form but they may be present in form of D or L.


Number of chiral carbon atoms in glucose and fructose are

The number of essential amino acids in man is
There are 20 amino acid in man out of which 10 amino acids are essential amino acids. These essential amino acids are supplied to our bodies by food which we take because they cannot be synthesised in the body. These are (1) Valine (2) Leucine (3) Isoleucine (4) Phenylalanine(5) Threonine (6) Methionine (7) Lysine (8) Tryptophan(9) Arginine (10) Histidine
The highest calorific value is found in
1 g fat provide 37 kJ of energy on oxidation while 1 g carbohydrate on oxidation gives 17 kJ of energy. Hence,fat has highest calorific value.