DIRECTIONS: These are Assertion-Reason type question.Question contains two statements:Statement-1 (Assertion) and Statement-2 (Reason). Answer these questions from the following four options.
Statement-1 : Vitamin B5 is also called as pyridoxin.
Statement-2 : Deficiency of vitamin B5 causes dermatitis and dementia.
-
Solution
Vitamin B5 is also called as nicotinic acid. Nicotinic acid in the form of nicotinamide is found usually in all living cells in small amounts.
DIRECTIONS: These are Assertion-Reason type question.Question contains two statements:Statement-1 (Assertion) and Statement-2 (Reason). Answer these questions from the following four options.
Statement-1 :Sequence of bases in DNA is TGAACCCTT and sequence of bases in m-RNA is CATTAAACC.
Statement-2 : In DNA, nitrogenous bases have hydrogen bonds.
-
Solution
Sequence of bases in DNA is TGAACCCTT, since according to base-pairing principle, T in DNA faces A in m-RNA, while G faces C and A faces U. Therefore,sequence of bases in m-RNA is ACUUGGGAA.
DIRECTIONS: These are Assertion-Reason type question.Question contains two statements:Statement-1 (Assertion) and Statement-2 (Reason). Answer these questions from the following four options.
Statement-1 : Proteins on hydrolysis produce amino acids.
Statement-2 : Amino acids contain –NH2 and –COOH groups.
-
Solution
Proteins on hydrolysis gives α-amino acid because amino acids are the building blocks of proteins. It is also fact that amino acids contain both –NH2 and–COOH group.
Here statement-1 and statement-2 both are correct but statement-2 is not a correct explanation of statement-1.
DIRECTIONS: These are Assertion-Reason type question.Question contains two statements:Statement-1 (Assertion) and Statement-2 (Reason). Answer these questions from the following four options.
Statement-1:Hydrolysis of sucrose is known as inversion of cane sugar.
Statement-2 : Sucrose is a disaccharide.
-
Solution
Hydrolysis of sucrose is known as inversion of cane sugar because sucrose produce equimolecular mixture of glucose and fructose. Sucrose is dextrorotatory while glucose and fructose mixture is laevorotatory. Sucrose is disaccharide.
DIRECTIONS: These are Assertion-Reason type question.Question contains two statements:Statement-1 (Assertion) and Statement-2 (Reason). Answer these questions from the following four options.
Statement-1 : Glycine is amphoteric in nature.
Statement-2 : Glycine contains both acid and basic groups.
-
Solution

Synthesis of each molecule of glucose in photosynthesis involves :
-
Solution
6CO2 + 12NADPH + 18ATP ⟶ C6H12O6 + 12NADP + 18ADP

-
Solution

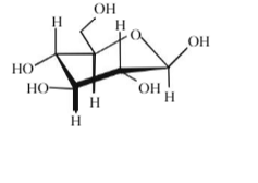
It is a β-pyranose hence it is an aldohexose.


-
Solution

Which one of the following statements is correct?
-
Solution




