Attempted
Correct
UnAttempted
Wrong



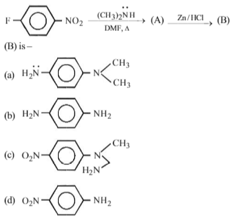
N can't have more than 8 electrons in its valence shell as it does not have any d orbital. In (c),N has 10 electrons.





In (b)the lone pair of electrons on N is not in conjugation with benzene ring, hence it is not involved in resonance causing the compound to be most basic.

Enamine (ene for carbon-carbon double bond and amine for amine group). >C = C – N<







