Attempted
Correct
UnAttempted
Wrong








Choose the amide which on reduction with LiAlH4 yields a secondary amine

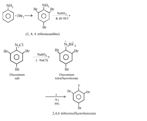
Aniline is reacted with bromine water and the resulting product is treated with an aqueous solution of sodium nitrite in presence of dilute hydrochloric acid. The compound so formed is converted into a tetrafluoroborate which is subsequently heated dry.The final product is



When aniline reacts with oil of bitter almonds(C6H5CHO) condensation takes place and benzal derivative is formed. This is known as

Which one of the following statements is not correct?
NH3 is a weaker base than ethanamine.
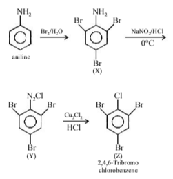
Aniline is treated with bromine water to give an organic compound ‘X’which when treated with NaNO2 and HCl at 0° C gives a water soluble compound ‘Y’. Compound ‘Y’ on treatment with Cu2Cl2 and HCl gives compound ‘Z’.Compound ‘Z’ is
