A plane wave of wavelength 6250 Å is incident normally on a slit of width 2 × 10-2cm. The width of the principal maximum on a screen distant 50 cm will be
-
Solution

Light of wavelength 6328 Å is incident normally on a slit having a width of 0.2 mm. The angular width of the central maximum measured from minimum to minimum of diffraction pattern on a screen 9.0 metres away will be about
-
Solution

The separation between successive fringes ina double slit arrangement is x. If the whole arrangement is dipped underwater what will be the new fringe separation? [The wave lenght of light being used is 5000 Å]
-
Solution

In Young’s double slit expt.the distance between two sources is 0.1 mm. The distance of the screen from the source is 20 cm. Wavelength of light used is 5460 Å. The angular position of the first dark fringe is
-
Solution
The position of nth dark fringe. So position of first dark fringe in x1 = λD/2d.
d = 20 cm, D = 0.1 mm, λ = 5460 Å, x1= 0.16
In Young’s expt., the distance between two slits is d⁄3 and the distance between the screen and the slits is 3 D. The number of fringes in 1⁄3m on the screen, formed by monochromatic light of wavelength 3λ, will be
-
Solution

The path difference between two wave fronts emitted by coherent sources of wavelength 5460 Å is 2.1 micron. The phase difference between the wave fronts at that point is
-
Solution

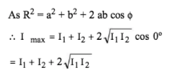
The max. intensity produced by two coherent sources of intensity I1 and I2 will be
-
Solution

Light of wavelength 6.5 × 10–7m is made incident on two slits 1 mm apart. The distance between third dark fringe and fifth bright fringe on a screen distant 1 m from the slits will be
-
Solution

A ray of light is incident on the surface of a glass plate at an angle of incidence equal to Brewster’s angel φ. If μ represents the refractive index of glass with respect to air,then the angle between the reflected and the refracted rays is
-
Solution
∴ ip= φ, therefore, angle between reflected and refracted rays is 90º.
The width of as lit is 0.012 mm. Monochromatic light is incident on it. The angular position of first bright line is 5.2º. The wavelength of incident light is[sin 5.2º = 0.0906].
-
Solution








