Attempted
Correct
UnAttempted
Wrong
A, B and C are three points in a uniform electric field. The electric potential is

Potential at B, VB is maximum VB > VC > VA
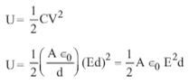
A parallel plate condenser has a uniform electric field E(V/m) in the space between the plates. If the distance between the plates is d(m) and area of each plate is A(m2) the energy(joules) stored in the condenser is

Two parallel metal plates having charges + Q and – Q faceeach other at a certain distance between them. If the plates are now dipped in kerosene oil tank, the electric field between the plates will
Electric field E = σ⁄ε = Q⁄Aε
ε of kerosine oil is more than that of air.
As ε increases, E decreases.
An air capacitor C connected to a battery of e.m.f. V acquiresa charge q and energy E. The capacitor is disconnected from the battery and a dielectric slab is placed between the plates. Which of the following statements is correct ?
When a battery across the plates of capacitor is disconnected and dielectric slab is placed in between the plates, then
(i) capacity C increases
(ii) charge q remains unchanged
(iii) potential V decreases
(iv) energy E decreases
If a capacitor 900 µF is charged to 100 V and its total energy is transferred to a capacitor of capacitance 100 µF then its potential is
