Two charges are at a distance d apart. If a copper plate of thickness 2⁄d is kept between them, the effective force will be
-
Solution
The dielectric constant for metal is infinity, the force between the two charges would be reduced to zero.
What is the value of E in the space outside the sheets?
-
Solution
Inside a charged conducting surface E= 0, but on or outside the surface E≠0.
∴ Electric intensity is discontinuous across a charged conducting surface.
A charge Q is enclosed by a Gaussian spherical surface of radius R. If the radius is doubled,then the outward electric flux will
-
Solution
By Gauss’s theorem, φ = \(\frac{Q_{in}}{\epsilon _{0}}\)
Thus, the net flux depends only on the charge enclosed by the surface. Hence, there will be no effecton the net flux if the radius of the surface is doubled.
If a dipole of dipole moment \(\underset{p}{\rightarrow}\) is placed in a uniform electric field \(\underset{E}{\rightarrow}\), then torque acting on it is given by
-
Solution
Given : Dipolemoment of the dipole = \(\underset{p}{\rightarrow}\) and uniformelectric field = \(\underset{E}{\rightarrow}\).Torque (τ) = Either force ×perpendicular distance between the two forces =qaEsinθ or τ=pE sin θ or \(\underset{\tau }{\rightarrow}\) = \(\underset{p}{\rightarrow}\times \underset{E}{\rightarrow}\) (vector form)
The E-r curve for an infinite linear charge distribution will be
-
Solution

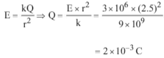
The insulation property of air breaks down when the electric field is 3 × 106 Vm–1. The maximum charge that can be given to a sphere of diameter 5 m is approximately
-
Solution

A charge q is placed at the centre of the open end of a cylindrical vessel. The flux of the electric field through the surface of the vessel is

-
Solution
The flux is zero according to Gauss’ Law because it is a open surface which enclosed a charge q.
Two conducting spheres of radii r1 and r2 are charged to the same surface charge density. The ratio of electric fields near their surface is
-
Solution

In a medium of dielectric constant K, the electric field is \(\overrightarrow{E}\).If ∈0 is permittivity of the free space, the electric displacement vector is
-
Solution

The electric field intensity just sufficient to balance the earth’s gravitational attraction on an electron will be: (given mass and charge of an electron respectively are 9.1 × 10 -31 kg and 1.6 × 10-19C.)
-
Solution





