Attempted
Correct
UnAttempted
Wrong
In an A.C. circuit with phase voltage V and current I, the power dissipated is
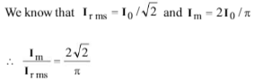
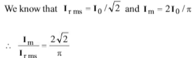
The ratio of mean value over half cycle to r.m.s. value of A.C. is

A bulb and a capacitor are connected in series to a source of alternating current. If its frequency is increased, while keeping the voltage of the source constant, then bulb will
An AC voltage source has an output of V= 200 sin 2πft.This source is connected to a 100 Ω resistor. RMS currentin the resistance is
Fleming’s left and right hand rules are used in
The impedance in a circuit containing a resistance of 1 Ω and an inductance of 0.1 H in series, for AC of 50 Hz, is
An LCR series circuit, connected to a source E, is at resonance. Then the voltage across
The frequency of A.C. mains in India is

In an a.c. circuit, the r.m.s. value of current, Irms is related to the peak current, I0 by the relation
The time constant of C–R circuit is